厦门大学凝聚态理论李运美课题组在自旋波拓扑领域取得新进展
前言
自旋波,或者磁振子,是磁性系统中自旋涨落形成的元激发。由于其波动性,可用来传输信息以及实现逻辑计算,具有面积小,无焦耳热等特点,相关的研究方向被称为磁振子学(magnonics)[1]。先前大量的工作一般利用静磁表面波模式(magnetostatic surface modes)来作为处理和传输信息的载体,强烈依赖于器件形状,同时杂质缺陷的存在使得加工与调控具有一定的难度。一个避免此类问题的方案是施加拓扑保护,对杂质缺陷不敏感,对形状依赖性小。因此接下来的问题是如何在磁性材料体系构造或者寻找自旋波的拓扑模式。近两年来课题组在这方面做了大量的探索,取得的进展如下。
A.反铁磁体薄膜中的反螺旋边缘态[2]
A1. 反铁磁中的自旋波
与铁磁体不同的是,由于PT对称性,反铁磁体中自旋波分简并的两支,进动方向分别为顺时针和逆时针,手性相反。因此可将相反手性当成是自旋波的赝自旋,分别带有±ℏ的自旋角动量。在模拟上,可以用两个耦合的Landau-Lifshitz-Gilbert方程来描述磁化的动力学性质。
A2. 反铁磁体中人工自旋波晶格能谱
在反铁磁薄膜中植入周期性的重金属量子点,如图1(a) 所示。界面上的结构不对称性会产生自旋轨道耦合,进而诱导出界面的Dzyaloshinskii-Moriya(DM)相互作用,改变磁矩在界面上的边界条件。自旋波在不同的界面DM相互作用强度下的能谱如图2所示。界面DM相互作用打开能隙,并能产生能带的拓扑相变。有趣的是,相反手性的能带陈数相反,因此整个体系的拓扑可以由自旋陈数来描述。

图1. (a). 实现反螺旋边界条件示意图,在薄膜中植入两种金属。(b). 当植入一种金属时的元胞。

图2. (a). 布里渊区。(b). 不同界面DM强度时的能谱。数字表示左手性支的对应能带的陈数。(c). 第一条与第二条能带的带隙变化。(d). 第三条和第四条能带带隙的变化。
A3. 螺旋与反螺旋边界态
按照体边对应关系,对于任何一个带隙,之下所有能带的自旋陈数之和非零时,带隙中间会出现螺旋的边缘态。条带的构造以及能谱如图3所示,验证了边缘态的出现,手性相反地两支在同一边界上沿着相反方向传播,微磁学模拟可以验证这一点,这样在边界上存在一个方向传输的自旋流,平行的边界上自旋流方向相反。是否存在在平行界面上同向的边界自旋流呢?答案是存在的。我们通过实现反螺旋的边缘态来实现。

图3. (a). 条带示意图。(b). 条带能谱, (c). 为放大图。(d). (e). 微磁学模拟.
我们发现自旋流的方向依赖于界面DM相互作用的符号,因此可以在条带中构造一个界面,通过植入不同的金属来实现界面两边界面DM相互作用的符号相反,如图4 (a) 所示,相应的能带图如图所示。通过微磁学模拟我们发现同手性的自旋波模式在平行的边缘上同向传播,相反手性的模式传播方向相反。我们从理论上提出了反螺旋边缘态在自旋波体系的实现方案。

图4. (a). 实现反螺旋边界态的方案示意图。(b). 左手性和右手性支能谱。(c). (d). 微磁学模拟结果。
B.磁对称性保护的高阶拓扑自旋波绝缘体[3]
B1. 磁对称性
一阶拓扑的体边对应关系为N维拓扑绝缘体支持(N-1)维的端点、边界或者表面态。二阶的拓扑绝缘体支持(N-2)维的角态或者棱态。而这些角态或者棱态的出现一般由内部的晶格对称性保护。在磁体中,考虑到自旋的排列,晶格的对称性的描述不再是由简单的点群或者空间群来描述,取而代之的是更多数量的磁点群和磁空间群。而自旋波能带的拓扑受到具体的磁点群和磁空间群来保护。
B2. 自旋波Z2拓扑绝缘体的构造及破坏
堆垛六角铁磁成多层结构,同时相邻层间耦合为反铁磁,如图5所示。自旋相互作用哈密顿量为

这里考虑到了层内次近邻的DM相互作用,在位磁各向异性包括易轴和易面两项,层间反铁磁耦合强度为交错型。当易面各项异性为零时,自旋波能带的拓扑为弱的三维Z2拓扑绝缘体,受到赝时间反演对称性保护,起源于反铁磁体的PT对称性以及基态SO(2)对称性的联合保护,自旋波能谱双重简并,如图6(a)所示。易面各向异性破坏掉SO(2)对称性,同时破坏Z2拓扑相,能带简并打破,表面态也同时打开带隙,如图6(b)所示。

图5. (a). 堆垛的六角铁磁结构。对应保护二阶拓扑的磁对称操作如图所标记。(b). 布里渊区及到低维的投影。
B3. 二阶拓扑相
一阶拓扑相的破坏来自赝时间反演对称性的破坏,磁对称性并未受影响,并保护二阶的拓扑相。如图所示,C2xT对称性作用在自旋波哈密顿量上类似于镜面对称性My。在其本征值下自旋波哈密顿量沿着ky=0方向可分解为解耦合的两支,每一支的晶格极化均为12,不依赖于kz。因此C2xT对称性保护沿着z方向的棱态,如图6 (c) (d)所示。对于双层的情况,存在角态。

图6. (a). 不存在以及存在易面各向异性时是自旋波体能谱。(b). 投影到kx−kz面内时有限厚度能谱。(c) (d). 投影到kz方向时能谱,不同反铁磁耦合强度下棱态一直存在。
另外在z方向存在σhT对称性,因此沿着kz存在量子化的极化,为0或者12。由于单层是由自旋波拓扑为陈绝缘体相,因此整个体系存在Z2×Z的拓扑相。当z方向极化为12时,上下表面存在陈的表面态,因此支持沿着水平棱的手性棱态,如图7(a) (b)所示。这些受磁对称性保护的二阶拓扑在不同的堆垛和其他相互作用如XYZ各向异性和Kitaev相互作用下都一直存在,如图7(c) (d)所示。

图7. (a). 投影到kx−ky面内时的能谱,存在表面态。(b). 投影到kx方向时能谱。(c) 滑移堆垛。(d) 滑移堆垛时能谱,手性棱态依然存在。
C.共线反铁磁绝缘体中温度诱导的自旋波拓扑相[4]
C1. 非线性自旋波以及有限温度拓扑问题
拓扑相由拓扑不变量来刻画,其定义并不会考虑温度的影响。有限温度对拓扑相的影响在理论上一直是非常值得研究的问题。尤其是在磁性体系,有限温度带来的热涨落对磁序的影响非常大,在居里或者奈尔温度之上,磁体不再表现出宏观磁性。自旋波是磁性系统中自旋涨落带来的元激发,先前对自旋波拓扑的研究主要基于线性自旋波理论,忽略掉自旋波之间的相互作用项,因此在零温的条件成立。有限温度下的自旋波相互作用项与热涨落的共同作用会带来自旋波的非线性修正。而在此过程中自旋波拓扑相的命运是一个远未解决的问题。我们做了一个尝试性的探索。
C2. 体系
聚焦于二维共线反铁磁体系,如图8所示,实例材料为MnPS3以及MnPSe3。共线反铁磁体系自旋波含有两支简并的,相反手性的自旋波能谱,并且拓扑平庸,有限温度仅仅带来自旋波能谱的重整化。引入子格非对称的相互作用:子格的易轴各向异性以及次近邻子格内部交换相互作用的不对称,可在同质或者异质结内实现,如图1所示。

图8. 六角共线反铁磁体系,A和B两子格的子格内次近邻海森堡相互作用不对称,J2A≠J2B。
C3. 零温拓扑相
由于子格的非对称相互作用,线性自旋波能谱简并打破,在易轴各项异性强度的某些区间内,两支能谱交叉,如图9 (a)实线所示。MnPS3以及MnPSe3内禀的偶极相互作用能打开交叉区域能隙,如图9 (a)虚线所示。而在这些区间内,自旋波声学支能带的陈数为1。而在能谱交叉的区域外,能带的陈数为0,如图9 (b)所示。

图9. (a) 零温时自旋波能带。(b) 声学支陈数以及带隙随着A子格上易轴各向异性强度的变化。
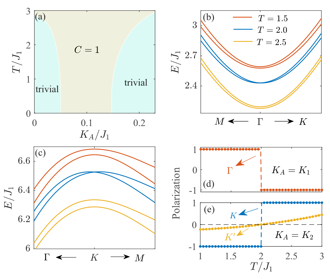
C4. 有限温度下相图与拓扑转变
在有限温度下,利用有限温度场论的方法来处理自旋波之间的相互作用,提取对自旋波的温度依赖的自能修正。有限温度下的相图如图10 (a)所示。在零温下拓扑非平庸区间的拓扑相并不会被温度破坏。有趣的是,零温下拓扑平庸的区间当温度升高超过某一临界温度之上时,也将展现出陈数为1的拓扑相。在相图的左边区域,随着温度升高,能带在Γ点的带隙在临界温度关闭,继续升高温度打开带隙,实现拓扑转变,如图10 (b)所示。相图左边的拓扑转变起源于有限温度带来的弱亚铁磁相。因为两支能带占据数不同,由此导致A和B两子格的磁化出现差别,带来自旋波的拓扑转变。在相图右边区域,能带在K点带隙关闭重新打开,如图10 (c)所示。

图10. (a) 相图。(b) 相图左边区域在不同的温度下能带的演化。(c) 相图右边区域在不同的温度下能带的演化。(d) 自旋波手性的转换。
C5. 实验探测
温度诱导的拓扑转变可通过中子散射谱在不同温度下观测自旋波能谱的带隙关闭与打开来探测,但是中子散射实验探测平台有限。自旋波的手性可通过磁拉曼谱来探测,升温时自旋波能谱的手性伴随着带隙的关闭和打开出现转换的现象。对于相图左边的拓扑转变,Γ点的声学支自旋波会从右手性转换成左手性,而对于相图右边的拓扑转变,K点的声学支自旋波会从左手性转换成右手性,如图10 (d)和10 (e)所示。因此通过变温下的磁拉曼谱来探测自旋波手性能很好地分辨这一显著的变化。
此外,平庸到非平庸的相变意味着贝利曲率在动量空间的非连续变化,自旋波的热霍尔效应可能可以反映这一点。如图11 (a)所示,对于相图左边的转变,热霍尔电导越过临界温度时表现出不连续性,反映出拓扑转变。对于相图右边的转变,热霍尔电导连续,这是由于相变发生于动量空间K点,处于高能区,热霍尔电导主要由低能区贡献,因此并不能反映相图右边的拓扑转变。

图11. (a) (b) 热霍尔电导随着温度的变化。
D.总结与展望
我们在自旋波拓扑领域做了一些探索,着重于磁对称性的保护以及自旋波间相互作用带来的非线性效应对自旋波拓扑的影响,未来还将持续在这些方向做一些探索,三篇工作李运美副教授均为第一和通讯作者。另外还与中国科学院半导体研究所常凯院士课题组合作,在铁磁体薄膜中实现了自旋波的朗道能级[5]。非常感谢厦大启动经费的支持,以及感谢常凯老师,吴亚杰教授,中科大罗希望教授在这些工作中的讨论与支持。
参考文献
[1] A. V. Chumak, V. I. Vasyuchka, A. A. Serga and B. Hillebrands, Magnon spintronics, Nature Phys. 11, 453 (2015).
[2] Yun-Mei Li*, Antihelical edge magnons in patterned antiferromagnetic thin films, Phys. Rev. Res. 5, 033026 (2023).
[3] Yun-Mei Li*, Ya-Jie Wu, Xi-Wang Luo, Yongwei Huang, and Kai Chang, Higher-order topological phases of magnons protected by magnetic crystalline symmetries, Phys. Rev. B 106, 054403 (2022).
[4] Yun-Mei Li*, Xi-Wang Luo, and Kai Chang, Temperature-induced magnonic Chern insulator in collinear antiferromagnets, Phys. Rev. B 107, 214417 (2023).
[5] Shasha Ke, Yun-Mei Li*, Wen-Kai Lou*, Kai Chang*, Pure magnon valley currents in a patterned ferromagnetic thin film, Phys. Rev. B 107, 104426 (2023).